7. О психологических основах резонансной теории пения
Психологические основы вокальной педагогики практически не разработаны, несмотря на огромную роль психологии в обучении певческому искусству. В рамках РТП исследована роль в овладении резонансной техникой пения таких свойств психики, как эмоции, образ, воображение, ощущения и представления певца о собственном голосе и механизмах его образования, а также – проблема типологии личности певца, т. е. принадлежности его к художественному или мыслительному типу.
Эмоции в пении, как нами показано, выполняют двойную роль: 1) как средство художественной выразительности и 2) как средство воздействия на работу голосового аппарата певца, т. е. овладение резонансной техникой пения (дидактическая роль эмоций).
Вокальный педагог, как правило, певец, при передаче ученику представлений о работе голосового аппарата в пении предпочитает использовать не столько объективные данные по физиологии, анатомии и акустике голосового аппарата, сколько свои субъективные и, как правило, эмоционально-образные (метафорические) представления о певческом процессе, порожденные в значительной степени объективными вибрационными ощущениями, характерными для резонансной техники пения. Так, сильная вибрация лицевых частей головы в области, обычно закрываемой маскарадной маской, породила термины: «маска», «звук в маске», «в высокой позиции», «головной звук», «звук сочится из глаз», «…висит на кончике носа» и т. п.
Характерно в этом отношении высказывание К. С. Станиславского, который в своей Системе писал о необходимости владения актером не только совершенной сценической речью, но и пением. «Я понял преимущество голосов, поставленных "в маску", т. е. в переднюю часть лица, где находится жесткое нёбо, носовые раковины, гайморова полость и другие резонаторы… Я решил вывести звук совсем наружу, так, чтобы даже кончик носа задребезжал от вибрации». Кстати, Станиславский, критикуя тембральную неровность гласных сценической речи, также использует образно-метафорические термины типа «как будто». «Как неприятны пестрые голоса, – писал он, – в которых звук А вылетает из живота, звук Е из голосовой щели, И – протискивается из сдавленного горла, звук О гудит, точно в бочке, а У, Ы, Ю попадают в такие места, из которых их никак не вытащишь» (Станиславский, 1955, c. 67).
Заметим, что тембральную ровность гласным в пении придает присутствующая у хороших певцов во всех гласных высокая певческая форманта (см. рис. i), которая имеет резонансное происхождение. Таким образом, тембральная ровность вокальных гласных обеспечивается высокой активностью и стабильностью работы резонансной системы голосового аппарата певца.
Аналогичные эмоционально-образные выражения используются певцами при описании активности грудного резонатора: «У певца в груди собор!» (И. Архипова, нар. арт. СССР), «Голос рождается, живет и умирает в груди» (Ю. Эдельман, засл. арт. РФ, вок. педагог), «Во время пения я чувствую опору… в ногах» (Б. Гмыря, нар. арт. СССР), «Станьте полым как труба и начните петь со лба» (Е. Г. Крестинский, известный вокальный педагог), «Ставь голову на грудь, а грудь на голову» (К. Эверарди, выдающийся вокальный педагог XIX в., – совет требует объединения грудного и головного резонансов) и т. д. и т. п.
Исследования показали, что эмоционально-образная вокальная терминология, изобилующая советами типа «как будто» и нередко подвергающаяся критике как несоответствующая формальной логике («научно не обоснованная»), на самом деле является вполне грамотным и эффективным психологическим средством воздействия на работу голосового аппарата и овладения резонансным пением. Известно, что мышление человека, решение любых мыслительных и даже далеко не художественных задач, не ограничивается лишь логическими операциями, но осуществляется с участием представлений и воображения (сравнение, метафора, фантазия и т. п.). Возникновение в сознании (а также в подсознании!) образа конечного результата является важнейшим и непременным условием успешности его достижения, поскольку этот психологический механизм (образ воображаемой цели) активизирует физиологические механизмы, обеспечивающие готовность и способность человека к достижению этой цели. И. П. Павлов называл это состояние рефлексом цели, А. А. Ухтомский – оперативным покоем, а также доминантой, П. К. Анохин – моделированием процесса достижения конечного результата, Д. Н. Узнадзе – установкой, Б. Ф. Ломов – антиципацией, т. е. предвосхищением, прогнозированием способа решения задачи.
При резонансном пении воображение подготавливает голосовой аппарат для наилучшего резонирования. Поэтому «ничему нельзя научить того, у кого нет воображения», – считал Шаляпин. Это высказывание он относил и к способности певца создавать правдивые сценические образы.
Вполне понятно, что образные представления могут существенно различаться у разных певцов в зависимости от того, на что певец обращает внимание (дыхание, гортань, резонаторы), какими (преимущественно) ощущениями руководствуется (мышечными или вибрационными), какую вокальную технику использует и т. п.
Но какими бы фантастическими ни были образные субъективные представления певца о механизмах образования певческого голоса, они всегда в основе своей имеют действительные объективные процессы, происходящие в голосовом аппарате при пении. При резонансной технике пения – это сильные вибрационные ощущения, являющиеся результатом большой активности резонансных процессов в грудном и верхних резонаторах, которая в свою очередь обеспечивается их оптимальной настройкой и сонастройкой. Это индикаторная функция резонаторов.
Вместе с тем субъективный образ резонансной техники, который певец строит в своем воображении, как показывает опыт, уже сам выступает весьма действенным средством стимуляции (активизации) резонансных процессов голосообразования.
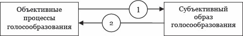
Таким образом, согласно РТП, объективные и субъективные (т. е. воображаемые) явления взаимосвязаны между собой нервно-психическими механизмами и на этом основании обратимы, а именно: сильная вибрация резонаторов порождает образ («собор в груди», «поют резонаторы» и т. п.), а этот образ, в свою очередь, стимулирует физиологические механизмы, активизирующие резонансные процессы (улучшает настройку и сонастройку резонаторов по принципу положительной обратной связи), причем даже у тех певцов, которые плохо владеют резонансной техникой и только обучаются этому (см. рис. 5).
В этом и состоит положительный эффект метафорического образа резонансного пения, удачно подсказанного ученику педагогом.
Подобные же образы эффективно служат и опытным профессиональным певцам в их собственных ощущениях, представлениях и описаниях резонансной техники, судя по их высказываниям, приведенным мною в книге «Искусство резонансного пения» (Приложение 1).

Рис. 5. Схема психофизиологического механизма взаимосвязи объективных и субъективных процессов певческого голосообразования.
1 – прямой путь формирования субъективного образа голосообразования; 2 – обратный путь воздействия субъективного образа на объективный процесс голосообразования.
Психологический аспект резонансного пения состоит также в научно-экспериментальном доказательстве целесообразности и необходимости перемещения главного фокуса певческих ощущений из области голосовых складок (образ «голосовой щели», «голосовой борьбы» и т. п., что нередко практикуется и культивируется) на область певческих резонаторов и связанные с их активностью вибрационные певческие ощущения.
К числу важнейших экспериментально изученных нами психологических основ резонансной теории искусства пения относятся следующие психологические характеристики вокалистов и певческого процесса:
• Принадлежность певца к художественному типу личности (по разным критериям, см.: Художественный тип…, 1994).
• Степень развитости пассивного и активного эмоционального слуха (ЭС) по предложенному автором невербальному тесту на ЭС (Морозов, Патент РФ, 2004), в том числе и в сопоставлении с другими психологическими характеристиками, определяемыми по опросникам Кэттэла, Айзенка, Векслера, опроснику на эмоциональный интеллект Д. В. Люсина и др.
• Психофизиологические механизмы управления певческим дыханием под контролем виброчувствительности как основой овладения резонансной техникой пения.
• Компьютерные методы оценки вокальной одаренности (Морозов, 2010; Морозов, Патент РФ, 2003).
• Исследование музыкальности по критерию предложенного автором компьютерного метода оценки интонационной точности в пении (Морозов, 2009).
• Компьютерный метод оценки вибрато как важнейшего эстетического и вокально-технического феномена.
• Психоакустические методы исследования полётности певческого голоса, а также дикции в пении.
Психологические основы пения составляют важнейшую часть пяти основных принципов резонансной теории и техники пения мастеров вокального искусства (Морозов, 2002, 2008).
* * *
В заключение подчеркнем, что резонансная теория искусства пения отнюдь не односторонне рассматривает работу только лишь резонаторов в пении. Значительная и основная часть теории посвящена доказательству принципа целостности голосового аппарата певца как неразрывного единства певческого дыхания, работы гортани и резонаторов в пении, равно как и единства акустических, физиологических и психологических процессов.
Исследования в рамках РТП проведены с применением современных методов акустики, физиологии, психологии и новейших компьютерных технологий. Применение указанных методов позволяет не только произвести детальный анализ певческого голоса и выявить его характерные свойства, обусловливающие его высокие эстетические качества (наличие высокой и низкой певческих формант и др.), но и как бы реконструировать особенности вокальной техники звукообразования, в частности – оценить степень активности резонансной системы поющего, например таких выдающихся мастеров, как Шаляпин, Карузо и др. Равным образом компьютерный анализ позволяет на этой основе выявить и недостатки голоса и механизмов его образования у молодых неопытных певцов.
Более 800 000 книг и аудиокниг! 📚
Получи 2 месяца Литрес Подписки в подарок и наслаждайся неограниченным чтением
ПОЛУЧИТЬ ПОДАРОКДанный текст является ознакомительным фрагментом.