Аптека Нептуна
Божественен, природа, твой язык,
И кто бы ни считал себя поэтом,
Пожизненно он твой лишь ученик,
Пусть ни на миг не усомнится в этом.
Расул Гамзатов
Водная среда издавна манит людей своими богатствами. Человек часто не осознает огромных ее размеров. Если не учитывать воду, содержащуюся в атмосфере, в земной коре, а также в снегах и ледниках, на гидросферу Земли приходится примерно 1320 000 000 км?, из которых 220 000 км? приходятся на озера и реки, а остальное — на Мировой океан. Океан покрывает почти 71% земной поверхности, и «жилого» пространства в нем в 3000 раз больше, чем на суше. Самые глубоководные впадины океана уходят на 11000 м в глубину, в то время как средняя высота континентов — меньше 1000 м
Если большинство животных, населяющих сушу, живут на ее поверхности, то в океане, как теперь доказано, жизнь существует в самых разнообразных и бесчисленных формах, начиная с поверхности воды до дна глубочайших впадин
Человечество давно стремилось изучить и научиться использовать водные богатства, и в частности в направлении создания новых лекарственных препаратов. Еще древние греки рекомендовали золу, полученную от сжигания «морских коньков», как средство от облысения, а золу морских крабов — для лечения укушенных бешеной собакой. Египетский папирус, относящийся примерно к 1500 г. до н. э., содержит более 800 указаний о лечении разных болезней, в том числе и о лечении отравлений мясом морских животных. В IV в. до п. э. ядовитых скорпеновых рыб описал Аристотель, которого, по-видимому, можно считать первым зоологом западного мира. Диоскорид, греческий врач, состоявший при римской армии в I в. н. э., коллекционировал ядовитых животных, обитающих в европейских водах. Плиний Старший в своей «Естественной истории» приписывал совершенно невероятные способности морским котам, утверждая, что они способны «сгубить дерево» и разъесть своими колючками латы. Он считал также, что если сжечь хвост морского кота и пепел настоять на уксусе, то полученной смесью можно лечить головные боли. Беременным женщинам Плиний рекомендовал носить на животе амулеты из колючек морского кота, чтобы обеспечить себе легкие роды, причем колючки для амулетов следовало срезать у живого морского кота, которого затем надо было отпустить в море. Врач древнего Востока Авиценна (Ибн Сина) в своем «Каноне врачебной науки» приписывает «мурене, угрю, акуле и икре морских рыб свойства повышать половое чувство»
В русской народной медицине применялся порошок косточек, находящихся в голове рыб: окуня, карпа, нельмы — при каменной болезни и как мочегонное; щуки — при затруднительных родах и каменной болезни. Пан Сум в книге «Источник здравия» указывал, что камбала увеличивает плодородие, а ее печень «помогает от свербежа». Хотя эти рекомендации и не имели под собой научной основы, они показывают, что человек издавна искал медикаменты в животных, обитающих в водной среде
В наше время биологически активными веществами органического происхождения занимаются экологи, биохимики и фармакологи. И все же эта область знаний так мало исследована, что даже основные свойства биотоксинов морских животных еще не описаны. Один из зачинателей этой области — доктор Брюс У. Холстед, директор Института по изучению жизни на Земле (Колтоп, Калифорния), в составленном по заданию правительства США (в конце 60-х годов) трехтомном руководстве под названием «Ядовитые и ядообразующие морские животные нашей планеты» заявил: «Фармакологические и химические аспекты морских ядов по большей части не исследованы, и этот факт является прискорбным свидетельством низкого уровня наших знаний в данной области», В 60-х годах нашего века из ядовитых веществ, поставляемых морскими животными, удалось получить несколько действенных лекарственных препаратов. Это позволило некоторым ученым, занимающимся биологией моря, объявить наступление новой эры в фармакологии — эры лекарств из морского сырья
Широкой публике было обещано, что биологические вещества, добываемые из морских животных, послужат основой для чудодейственных лекарств, как когда-то специфические микроорганизмы послужили материалом для создания антибиотиков. Но обещания оказались преждевременными, ибо в большинстве случаев на создание какого-то одного лекарства уходило несколько десятилетий. Всякий раз, когда экспериментаторы обнаруживали в морском животном какое-то интересное вещество, приходилось вылавливать большое количество таких животных. Отловив их, необходимо было экстрагировать интересующее ученых вещество, выяснить его биологическую активность, очищая его, проводить анализ химического состава, опознавая каждый его компонент. Для того чтобы с успехом использовать вещество, его часто приходится синтезировать в форме, несколько отличной от естественной. Если и после этого препарат продолжает представлять какой-то интерес для человечества, его еще долго приходится испытывать. Разработка лекарств подобным образом — длительный и дорогостоящий процесс. По-видимому, все перечисленные трудности и отразились на ходе исследований в этой области
Первая Конференция фармакологов (занимавшихся лекарственными препаратами, изготовляемыми из морского сырья) состоялась в 1967 г. в университете Род-Айленда. Ее участники были полны энтузиазма. В газетных сообщениях о работе Конференции говорилось о великих открытиях, которые позволят «победить рак» и до которых осталось якобы несколько шагов. Но уже через 5 лет, на Второй Конференции, былого энтузиазма не чувствовалось. Отмечалось, что интерес ко всем этим исследованиям ослаб. Было объявлено, что морские исследования прекращены, потому что уже открыто достаточное количество сырья — теперь необходимо как следует изучить его. Наиболее оптимистично прозвучали слова сопредседателя Конференции Эдварда Миллера, который подчеркнул, что море, очевидно, станет поставлять не лекарственное сырье, а лишь образцы биологически активных соединений, вырабатываемых животными, а ученые, проанализировав эти вещества и проведя с ними ряд экспериментов, будут уже на этой основе синтезировать новые лекарственные препараты
Несмотря на все трудности в создании лекарственных препаратов из морских животных, на сегодняшний день накопился интересный научный материал и получены оригинальные фармакологические вещества. В Советском Союзе изучением биологически активных веществ морских животных занимаются в Институте эволюционной физиологии и биохимии АН СССР, во ВНИИ технологии кровезаменителей и гормональных препаратов Министерства медицинской и микробиологической промышленности СССР, в Тихоокеанском научно-исследовательском институте рыбного хозяйства и океанографии Министерства рыбного хозяйства СССР и Тихоокеанском институте биоорганической химии ДВО АН СССР
Было замечено, что морские животные меньше страдают от инфекции, чем сухопутные. Возник вопрос: не вырабатывают ли некоторые обитатели моря вещества, убивающие болезнетворные бактерии? И действительно, вода вокруг колоний губок остается чистой, даже несмотря на то, что многие губки умирают. Кроме того, несколько десятилетий назад было установлено, что некоторые водные животные умирают, если в воде, в которой они находятся, растворить химические вещества, экстрагированные из губок. Действие веществ, выделяемых различными губками, было испытано на болезнетворных микроорганизмах, выращенных в лабораторных условиях. Эти вещества убивали большую часть микробов. Наиболее эффективными оказались вещества, выделяемые субтропической «краснобородой» губкой: они оказывали губительное действие даже на туберкулезные палочки. Аналогичные свойства обнаружили исследователи у планктона (мельчайших водных организмов). Удалось получить два препарата — водный и жирорастворимый. Первый применяли в виде ингаляций носоглотки и дыхательных путей, а второй — для смазывания слизистых оболочек. В обоих случаях был выявлен лечебный эффект
Из различных видов губок были получены и другие физиологически активные вещества. Губки — самые загадочные существа. Они столь примитивно организованы, что до начала XIX в. считались растениями. У них нет органов чувств, а взрослые особи лишены еще и способности передвигаться. Они не имеют ротового отверстия. Прием пищи осуществляется путем процеживания морской воды через каналы и лабиринты, которыми испещрены их тела. Губка бессмертна и неуязвима. Ее можно протереть сквозь сито и частицы ее потом снова соберутся в новый жизнеспособный организм. В 1950 г. выяснились уникальные свойства одного из видов карибской губки. Ее нуклеиновые кислоты содержат не рибозу, которая является ключевым ингредиентом почти всех нуклеиновых кислот, а арабинозу. На основе данных по изучению нуклеиновых кислот этой губки синтезировано несколько соединений, содержащих вместо рибозы арабинозу
Так была получена цитозинарабиноза. Механизм ее воздействия на клетки человеческой крови, пораженные лейкемией, заключается в том, что рибозу этих клеток она заменяет арабинозой и, задерживая тем самым их рост, в конце концов убивает раковые клетки. Этот препарат оказался эффективным в довольно большом числе случаев и, хотя результаты экспериментов пока далеки от идеала, послужил основой для создания более эффективных препаратов. После десяти лет исследований цитозинарабиноза была разрешена федеральным правительством США для массового производства. В СССР это соединение применяется под названием «цитарабин»
Невозможно не вспомнить о пресноводной губке, которая продается у нас в аптеках. Это бодяга. В живом состоянии она имеет вид желто-буроватой или оливково-зеленоватой слизистой массы. Бодяга достигает 40 см в длину и плотно обрастает находящиеся в воде предметы и стволы деревьев, которые служат ей опорой. Живет она в реках, прудах и болотах. С давних времен ее высушивают и употребляют в виде порошка, жидкостей и мазей, вызывающих сильное механическое раздражение кожи, при ревматических и неврологических болях. Применяли ее также в качестве румян, что в конечном итоге приводило к непоправимому поражению кожных покровов. Свое лекарственное действие она оказывает главным образом благодаря входящим в ее состав кремневым иглам, связанным между собой органическим веществом — спонгином, или спонгинином. В состав бодяги входят также фосфорнокислые и углекислые соли извести и ряд органических веществ
О целебных свойствах морских губок Халихондрия маорийская давно известно аборигенам Новой Зеландии, которые применяли их для лечения ран. В журнале «Science» (1979. № 4422) сообщалось, что в этих губках было обнаружено большое количество фтора — до 11,5% от сухой массы. Они обладают повышенной способностью к его накоплению. Было установлено, что терапевтическая активность обусловлена содержанием давно известного фторсиликата натрия Na2SiF6, который снижает местную воспалительную реакцию. Заживляющий эффект халихондрий, приложенных к ране, выражается в том, что рана не воспаляется. Однако это средство вряд ли найдет применение в научной медицине, так как фторсиликат натрия является токсичным соединением — внутрибрюшинное его введение мышам вызывает судороги
Поставщиками лекарственных препаратов могут быть также некоторые рыбы
Доктор Давид Иенсен (Лаборатория при Большом нью-йоркском аквариуме) долгое время занимался изучением тихоокеанской миксины. Это уникальное в своем роде животное имеет четыре сердца, каждое из которых работает в своем ритме и обслуживает только определенный орган: одно — хвост, другое — печень, третье — мышцы и четвертое — голову. Миксина интересна тем, что не имеет глаз и ориентируется при помощи радара. У нее настолько эластичный хребет, что она способна завязываться узлом, а во время опасности выделяет такое количество слизи, что вода вокруг становится похожей на холодец, через который не может проникнуть враг. После длительных исследований удалось выделить пептид, который заставляет пульсировать сердце миксины. Он был назван эптатетрином. Его не удалось обнаружить больше ни у каких других морских животных. При испытании препарата на слабо бьющихся сердцах лягушки наблюдалась нормализация пульсаций. Введение эптатетрина в вену собаке с сердечной недостаточностью улучшало кровообращение и приводило к норме давление крови, а также нормализовало биохимические процессы в мышце при экспериментальной стенокардии. Химическое строение пептида миксины еще окончательно не установлено. Это вещество является перспективным для лечения сердечно-сосудистых заболеваний
Наиболее изученными, на наш взгляд, в химическом, биохимическом и фармакологическом плане являются биотоксины из некоторых рыб семейства Tetraodontidae (иглобрюхие). Известно около 40 разновидностей этих рыб. У разных народов они называются по-разному. Английские названия — надутая, шаровидная, набухшая, рыба-баллон — связаны с тем, что, если рыбу потревожить, она раздувает свои воздушные мешки, которые имеются в полости ее тела, и, увеличиваясь в объеме, отпугивает врагов. На Гавайских островах этих рыб называют маки-маки, в Испании — ботете, а в Японии — фугу. Последнее название наиболее популярно в мировой литературе
Сведения о рыбе фугу имеются еще в далеком прошлом. Среди изображений на гробнице египетского фараона пятой династии Ти (2500 лет до н. э.) был обнаружу рисунок рыбы, в которой сейчас признают фугу. Примерно в это же время о ее яде писали восточные философы. Об отравлениях мясом рыбы-собаки (которую называли и так) упоминает первая известная нам китайская книга по медицине «Книга трав», созданная между 2838 и 2698 гг. до н. э. Японцам фугу известна очень давно. Европейцы заинтересовались токсичными рыбами в XVII в., когда на Восток устремились полчища купцов и торговцев. Энгельберт Кэмфер, врач голландского представительства в Японии в конце XVII в., писал, что некоторые виды иглобрюхих рыб представляют смертельную опасность для всякого, кто надумает их отведать, и тем не менее японцы их едят, выбрасывая лишь голову, внутренности и кости, тщательно промывая оставшееся мясо. Согласно сообщениям голландского врача, воинам в Японии запрещалось есть эту рыбу и, если японский воин умирал от отравления иглобрюхой рыбой, его сын, который в кастовой системе, существовавшей в Японии того времени, должен был унаследовать привилегии отца, терял все права на отцовский титул. Один из видов иглобрюхих был (по сведениям Кэмфера) столь ядовит, что никаким промыванием не удавалось сделать его мясо безвредным, и японцы, решившие покончить с собой, часто выбирали эту рыбу в качестве отравляющего средства. В некоторых китайских провинциях торговля иглобрюхими рыбами каралась судом
Немало пострадал от ядовитых рыб экипаж капитана Джеймса Кука во время его второго кругосветного путешествия в 1774 г. Когда шлюп капитана причалил к одному из островов Новой Каледонии, корабельный писарь выменял у туземца неизвестную рыбу, и Кук попросил приготовить ее на ужин. К ужину были приглашены два натуралиста — отец и сын Фостеры, которые занялись описанием и зарисовкой рыбы. В связи с тем, что это заняло много времени и было поздно, капитан и гостя едва прикоснулись к поданной икре и печени рыбы. Позднее Кук записал в своем журнале: «В 4 часа утра мы почувствовали страшную слабость, потеряли осязание. Я почти совсем перестал отличать тяжелые предметы от легких: кружка с квартой воды и перо казались мне одинаково тяжелыми. Утром один из офицеров, евший накануне внутренности, был найден мертвым» (Химия и жизнь. 1968. № 8). С 1888 по 1909 г. в Японии зарегистрировано 3106, а с 1956 по 1958 г. – 715 отравлений рыбой фугу. Сейчас в некоторых префектурах Японии поварам, занимающимся приготовлением этой рыбы, требуется специальное разрешение. В Японии есть специальные рестораны, куда гурманы стремятся попасть именно для того, чтобы отведать яств, приготовляемых из этих рыб и подаваемых с особым шиком. Блюда эти называются «фугу» и считаются тонкими деликатесами. Повара, получившие специальную подготовку и имеющие особые лицензии, приготовляют фугу разными способами, иногда украшая блюдо ломтиками плавника, вырезанного в форме цветка или летящей птицы. Поклонники фугу утверждают, что на вкус это блюдо напоминает цыпленка. Однако привлекает фугу не только вкусом: поев фугу, человек ощущает тепло во всем теле, некоторое возбуждение и странное покалывание в языке и губах, сопровождающееся легким онемением. Многие японцы едят фугу регулярно (среди состоятельных людей это своего рода хобби) и, по-видимому, испытывают при этом легкую эйфорию. Возможно, наркотическое действие фугу и является причиной того, что мода на это блюдо не проходит, хотя отравления наблюдаются часто. Кроме того, знатоки утверждают, что небольшое количество печени фугу, которая более ядовита, чем мясо, придает некоторым блюдам особенно пикантный аромат, и ради этого пренебрегают опасностью
Обычно отравления различными видами рыб семейства иглобрюхих происходят в результате съеденной человеком икры, молок или печени. Явления интоксикации возникают через 15 — 30 мин после еды. Один из первых симптомов отравления — покалывание и онемение во рту, похожие на ощущения, которые испытывают японские любители фугу. Если доза яда достаточна велика, это ощущение быстро распространяется по всему телу. В начале отравления у больных обычно отмечается резкое раздражение желудка и соответствующих нервов, вследствие чего появляется тошнота, а затем рвота. В тяжелых случаях очень быстро наступает паралич нижних конечностей, затем группы дыхательной мускулатуры и, наконец, верхних конечностей. Наиболее опасным для жизни больного является паралич диафрагмы. Пострадавший чувствует общую слабость, немеют руки. Кровяное давление понижается, пульс становится слабым и учащенным, Смерть наступает вследствие остановки дыхания, поскольку мышцы, обеспечивающие дыхательный акт, не получают соответствующих нервных импульсов. В легких случаях выздоровление наступает через несколько часов без последствий
Много веков назад в Японии и Китае порошок из рыбы фугу в смеси с другими ингредиентами животного происхождения применяли как обезболивающее средство. Больные быстро поправлялись, становились бодрыми и жизнерадостными
Профессор И. Ажгихин приводит описание рецепта из рыбы фугу, по которому готовили лекарства древние лекари: внутренности рыбы замачивали в течение недели в уксусе, затем их разминали до сметанообразной консистенции, смешивали с медом и мукой. Из полученной массы лепили шарики и назначали больным проказой, расстройствами психики, применяли при болезнях сердца, кашле, головных болях
Свойства яда рыб семейства иглобрюхих начали изучать начиная с конца прошлого столетия. Яд получали путем экстрагирования измельченной икры и последующей ее очистки. Полученные препараты испытывали на лабораторных животных
В 1894 г. Иошизуми Тохара из Токио выделил из яда фугу тетродонин и тетродоновую кислоту, а в 1910 г.— тетродотоксин — действующее начало яда. Сейчас известно, что даже в наиболее тщательно приготовленных препаратах японского исследователя содержалось только 2% чистого яда. И только в 1950 г. японским ученым Акиро Иокоо из Иокогамского университета и Киосуке Тсуде из Токио удалось наконец получить чистую кристаллическую форму тетродотоксина. В отличие от прочих рыбных ядов тетродотоксин не относится к белковым веществам. Он представляет собой соединение аминопергидрохиназолина с гуанидиновой группой. Интересно отметить, что для изучения структуры тетродотоксина пришлось переработать одну яичниковую фугу и получить из нее 10 г чистого вещества. В 1972 г. японскими учеными был произведен синтез тетродотоксина, подтвердивший правильность его структуры:

В чистом виде он представляет собой белый аморфный порошок нейтральной реакции, легко растворимый воде, в водном растворе глицерина и в физиологическом растворе. Почти не разрушается желудочным соком и желчью. Удовлетворительно выдерживает температуру по +40°. Значительно лучше переносит низкие температуры до - 20...30°. Разрушается едкой щелочью, концентрированными кислотами, хлором, йодом и солями тяжелых металлов. Механизм действия тетродотоксина на нервную ткань заключается в том, что он прекращает передачу нервного импульса, блокируя движение ионов натрия сквозь оболочку нервных клеток, в то время как ионы калия по-прежнему проникают сквозь нее. Свое специфическое действие тетродотоксин осуществляет за счет входящей в него гуанидиновой группировки, способной «закупоривать» поры оболочки нервного окончания, через которые должен проникать в клетку натрий. По активности блокирования нервного окончания (аксона) тетродотоксин в 160 000 раз активнее кокаина, а по ядовитому действию в 10 раз превосходит кураре
Благодаря своей способности избирательно блокировать передачу нервного импульса тетродотоксин может стать превосходным обезболивающим средством. В Японии уже сейчас продают тетродотоксин в малых концентрациях в качестве болеутоляющего средства
На этот препарат еще в неочищенном виде был выдан в 1913 г. американский патент. Однако результаты его применения оказались не вполне убедительными, потому что, введенный в определенное место, он не локализуется в нем, а проникает в другие ткани. Может быть, в будущем формула этого яда послужит моделью для создания новых высокоэффективных анестезирующих средств. Наиболее эффективным оказалось совместное применение тетродотоксина (1 — 3 мкг/мл) с уже известными анестетиками. Это дает возможность значительно усилить обезболивающее действие (патент США № 1970905)
Способность тетродотоксина блокировать нервные сигналы нашла применение в научных исследованиях: яд используют для изучения принципов работы нервной системы
И еще одно событие связано с ядом рыбы фугу, В 60-х годах американские и японские токсикологи пришли к выводу, что тетродотоксин идентичен с ядом, выделенным из американского тритона, несмотря на то что эти животные принадлежат к разным классам. Это открытие, возможно, поможет лучше понять эволюционную связь между земноводными и рыбами
Вещество, подобное тетродотоксину, было выделено сотрудниками ВНИРО из глубоководной рыбы большеголова. Наибольшие его количества были обнаружены в печени, жире, нервной ткани, плавниках и жабрах. Назвали его гоплостатином. Оно вызывает возбуждение центральной нервной системы, увеличивает двигательную активность, повышает сократительную способности мышечной ткани. Из другой глубоководной рыбы Атлантики — кубохвоста — выделено биологически активное вещество куботоксин
Каждый год океан раскрывает все новые и новые тайны
Учеными был обнаружен интересный биологический эффект — если у некоторых акул пытаться вызвать развитие онкологического заболевания, то эта попытка заканчивается неудачно (New Scientist. 1981. Т. 90, № 1249. С. 836). Такое свойство было обнаружено у акулы-молота. Если ей привить раковую опухоль или ввести в наследственный аппарат вирус рака, то заболевание не развивается. В дальнейшем было доказано, что выделенные из тканей рыбы вещества тормозят развитие злокачественных образований, а иногда и полностью излечивают их
Противоопухолевые вещества, выделенные из акулы-молота, относятся к высокомолекулярным гликопротеинам. Их назвали сфирностатинами 1 и 2. Они состоят из большого числа аминокислотных остатков (274 и 380 соответственно). Минимальная доза, угнетающая рост опухолей, для сфирностатинов составляет 13 мг/кг. Такие вещества были обнаружены в определенных тканях и органах других акул
Необходимо отметить, что изучением противораковых свойств препаратов, приготовленных из печени акулы, уже давно занимается советский ученый А. Г. Гачечиладзе. Еще в 1965 г. он защитил кандидатскую диссертацию, которая была посвящена потенциальным возможностям управления клеточным делением. В 1968 г. А. Г. Гачечиладзе приготовил из печени черноморской акулы катран препарат катрэкс. История испытания препарата неоднократно описывалась в печати («Медицинская газета» - 14 октября 1987 г. и 27 января 1988 г.; журнал «Смена» -1987 г. № 15). Согласно гипотезе автора, рост опухолей возможно блокировать без повреждения нормальных тканей с помощью протеолитических ферментов, которыми богата печень катрана. Проведенные исследования показали, что при воздействии созданным препаратом на организм происходит рассасывание экспериментальных опухолей у животных. А. Г. Гачечиладзе проверял новое средство на себе — он сделал 60 инъекций катрэкса. Никаких побочных явлений обнаружено не было. Испытания на больных людях подтвердили высокую эффективность препарата. Катрэкс проходит испытание в восьми ведущих; научно-исследовательских онкологических учреждениях страны. Установлены клинические условия применения нового препарата, его показания, терапевтические возможности, слабые и сильные стороны. Какова дальнейшая судьба катрэкса — покажет время
В настоящее время установлено, что рыбы могут являться источником получения новых физиологически активных веществ. Например, давно известно, что из чешуи рыб можно определенным образом извлекать особое вещество гуанин, которое смешивают с лаком и получают жемчужный пат. Им покрывают стеклянные шарики при изготовлении искусственного жемчуга. Гуанин является составной частью нуклеиновых кислот, на что обратил внимание еще в начале 50-х годов известный фармаколог профессор Н. В. Лазарев. Он исследовал возможность применения гуанина для лечения некоторых заболеваний крови. Однако гуанин обладал большим количеством нежелательных свойств. Тогда Н. В. Лазарев начал исследовать другие продукты распада нуклеиновых кислот, в результате чего был создан препарат пентоксил — эффективное средство для лечения заболеваний крови и для химиотерапии злокачественных опухолей
Из рыбы пеламиды выделено вещество 6-гидроксипурин-5-мононуклеотид, обладающее свойством интенсификатора вкуса. Из молок осетровых вырабатывают антибиотик экмолин, удлиняющий действие других антибиотиков
Сотрудники университета в Пуэрто-Рико выделили вещество риптисин из дурно пахнущей ядовитой жидкости, которую небольшая рыбка, называемая мыльной, выпускает при встрече с врагом. Это вещество снижает артериальное давление
Как перспективное средство борьбы с акулами может служить токсин, выделенный из маленькой рыбы пардахирус. Попав в пасть акулы, она парализует мышц глотки, и акула погибает
Лекарственные вещества получены также из многих других морских животных
Английские фармакологи выделили из голотурий, которых называют морскими огурцами или кубышками, новое вещество голотурии. Как показывали опыты на мышах, голотурии замедляет, а иногда и останавливает злокачественный рост опухоли. Кроме того, из голотурий получено средство, которое регулирует сердечную деятельность и усиливает обменные процессы, оказывает тонизирующее действие
В патенте США № 3271255 описывается получение биологически активных веществ из голотурий. Голотурий относятся к типу иглокожих (в выпотрошенном и вываренном виде поступают в продажу под названием трепангов). Эти морские животные имеют особый ядовитый железистый орган (Кювьеров орган), связанный с клоакой. Во время опасности голотурии выбрасываю свои внутренности вместе с этим органом, который в воде набухает, превращается в длинные липкие белые нити, пристающие к телу врага. Яд голотурий быстро поражает двигательную систему нападающего, а выброшенная часть кишечного канала входит в полость тела и со временем полностью восстанавливается
Первые опыты Р. Нигрелли в 1952 г. показали, что экстракт Кювьеровых органов вызывает регресс раковых образований у экспериментальных животных. В начале 50-х годов Р. Нигрелли также установил, что экстракт из органов голотурий Actinopyga agassizi в количестве 30 г на 3000 л морской воды через 30 мин убивает находящуюся в воде рыбу. Выделенное вещество доктор Р. Нигрелли назвал голотурином. Голотурии обнаружен в тканях других иглокожих, в частности морских звезд. Было установлено, что он является сильным ядом, блокирующим передачу нервного импульса, и обладает свойством останавливать развитие опухолей. Еще туземцы островов южной части Тихого океана знали, что во внутренностях голотурий содержится яд, который с древних времен применяли для отравления рыбы в закрытых лагунах. В яде голотурий были обнаружены физиологически активные гликозиды, состоящие из водорастворимого агликона (голотурии А) и водонерастворимого агликона, имеющего стероидную структуру (голотурии В). Голотурин А обладает выраженным неврогенным действием. Вероятно, он входит и в состав яда морских ежей, близок по действию к тетродотоксину. Голотурии нарушает нормальное развитие яиц морских ежей, снижает процессы регенерации, а также окукливание у дрозофил, оказывает губительное действие на амеб и парамеций
Изучение смеси агликонов голотуринов показало, что основным их компонентом являются производные ланостерина - 22,25-оксидоголотуриногенин и 17-деокси-22,25-оксидоголотуриногенин.

22,25-оксидоголотуриногенин
Сотрудники Тихоокеанского института биоорганической химии ДВО АН СССР в 1980 г. сообщили (Биоорганическая химия. 1980. № 6) о том, что из трепангов были выделены также тритерпеновые гликозиды — стихолозиды, сходные с панаксозидами, полученными из женьшеня
Голотоксин считается эффективным средством для лечения кожных грибковых заболеваний. Он обладает высокой противогрибковой активностью по отношению к трихомонадам и кандидам и не дает побочных эффектов
Из морской звезды также можно приготовить противогрибковые и противоопухолевые препараты. Они разрабатывались во ВНИРО в отделе биологически активных веществ гидробионтов
Известны клеящие вещества, которые вырабатывают морские животные и которые могут найти применение в медицине. Давно установлено, что морские звезды приклеиваются к днищам судов и подводным камням так прочно, что при попытке их удалить они отлетают с частицами металла. Прочность их склеивания не меньше прочности самого металла. Химическим исследованием установлено, что клей является аморфным метилированным полисахаридом, состоящим из пяти шестичленных колец глюкозы с внутренними эпоксидными группами. Отвердителем этого клея является вода. Клей термостоек, не боится кислот, щелочей и многих растворителей. По сообщению американских исследователей, примерно такой же прочности клей был выделен из мидий. Американский биолог Дж. X. Ууэт в результате пятилетней работы выделил из 20 тыс. моллюсков 3 мг клейкого вещества и установил, что этот клей является полифенольным белком, построенным из повторяющихся блоков — декапептидов. Полученные результаты вызвали большой интерес у врачей стоматологов и офтальмологов, которым очень нужен клей, не меняющий свойств в водной среде. Однако добывать этот клей из указанных морских животных нерентабельно, а синтезировать его пока не представляется возможным
В 1967 г. поступило сообщение из Лаборатории лауреата Нобелевской премии Сент-Дьерди о выделении из моллюсков вещества, обладающего выраженной противоопухолевой активностью. Действие вытяжек из моллюска, Mercenarra mercenaria оказалось наиболее сильным — почти 100% животных с привитой саркомой оставались живыми через шесть месяцев после введения опухолевых клеток в случае ежедневных инъекций им вытяжек в течение шести суток. Назвали этот препарат «мерценин»
В современной гомеопатии применяется препарат под названием «сепия», источником которого служит каракатица. Это животное обладает небольшим мешком (чернильная железа), содержащим темно-бурую, почти черную, жидкость. Когда каракатицу преследует какая-нибудь большая рыба, она выпускает эту жидкость, окрашивая воду вокруг, что способствует бегству. Предполагали, что эта жидкость безвредна для организма человека. Ее широко применяли для приготовления красок. Интересна история введения этого лекарства в гомеопатическую практику. У основоположника гомеопатии Самуэля Ганемана (1755—1843) был друг, по профессии художник, который однажды заболел. Несмотря на все старания Ганемана, здоровье его не поправлялось. Находясь как-то в мастерской своего друга, Ганеман заметил, что он употребляет краску из сепии и часто смачивает во рту пропитанную ею кисть. У Ганемана тотчас возникла мысль о возможности того, что в этом и кроется причина болезни. Он сообщил это художнику, но тот заявил, что краска «сепия» вполне безвредна Однако по совету Ганемана художник перестал смачивать кисть во рту, и с этого времени его странная болезнь совершенно исчезла. Ганеман тогда испытал действие сепии на себе и дал его описание
Ответа на вопрос, действительно ли чернильная жидкость каракатицы обладает биологической активностью, в доступной научной литературе найти не удалось. Известно, что у определенных видов каракатиц в задних слюнных железах был обнаружен яд цефалотоксин, который является белковым веществом и наиболее выраженное действие оказывает на ракообразных. Этот яд блокирует нервно-мышечное поведение
Остаток недоразвитой внутренней раковины каракатицы народные лекари Востока применяли в виде порошка для лечения невралгии, кожных болезней, бронхиальной астмы и других болезней. Считалось, что он также продлевает жизнь. Если чистить зубы порошком раковины, смешанным с зубным порошком, то они приобретают красивый белый цвет
Из слюнных желез некоторых представителей осьминогов был выделен пептид — эледозин, установлена его структура и осуществлен синтез.
Пироглу—Про—Сер—Лиз—Асп—Ала—Фен—Иле—Гли—Лей—Мет—NH2
Эледозин
Это вещество вызывает расширение сосудов и снижает давление, усиливает моторику желудочно-кишечного тракта, при введении в мозг крыс изменяет их поведенческие реакции
Работы, проведенные биохимиками и фармакологами, показали, что из нервных узлов (ганглиев) тихоокеанского кальмара, добываемого в Японском море и у Курильских островов, можно получить фермент холинэстеразу, который применяется в медицине как эффективное противошоковое средство. Активность холинэстеразы при этом в 10 раз выше, чем активность того же фермента, получаемого из мозга коровы или собаки. Она обладает значительно лучшим качеством по сравнению с промышленным препаратом, изготовленным из крови убойного скота. Кроме того, установлено, что холинэстераза из зрительных ганглиев новозеландского кальмара обладает вдвое большей активностью,
Другой фермент — фосфатазу можно добывать из половых желез кальмара Японского и Берингова морей. Обычно кислую фосфатазу получают из плесневых грибов. Она может найти применение при лечении некоторых воспалительных процессов. Японский исследователь К. Окутани установил, что вытяжка из скелетной пластинки кальмара (гладиуса), расположенной под кожей спины, обладает свойством препятствовать развитию саркомы у мышей. Эффективно средство и при внутрибрюшинном введении. Однако через определенное время после прекращения инъекций рост опухоли возобновляется. Применялись с лечебной целью и другие моллюски. Автор «Солернского кодекса здоровья» писал:
«Надо ли дивиться тому, что улиток берут для леченья,
Если даже помет заслужил в медицине признанье
Есть земляные улитки, а также улитки морские;
Силой они не равны: земляные по качествам лучше,
Свойством они обладают хотя и одним, но неравным».
В китайской народной медицине применяют 20%-ную мазь из экстракта свежих улиток в случае выпадения прямой кишки. Эффект обычно наступает в течение 5 — 16 дней
Еще во II в. и. э. Квинт Серен Самоник рекомендовал применение улиток. При головной боли «...также полезно ко лбу приложить размельченных улиток», «...или размельченные такие улитки и пена морская прикосновением своим унимают неистовство зуда». При болезнях почек «...в количестве трех улитки в воде кипятятся, после мельчатся они с ракушками вместе, перечных зерен добавь и в питье обретешь исцеление». Как средство, регулирующее деятельность кишечника:
«Мы же правдивое слово Горация здесь упомянем,
Что и моллюск, и улитки простые живот облегчают,
Но перед тем откормить их мукой и крапивою надо».
Б. Н. Орлов и Д. Б. Гелашвили (1985) отмечают, что одна из самых крупных наземных улиток — ахатина применяется в Нигерии как лекарственное средство. Экстракт из ноги этого моллюска рекомендуют при угрожающем аборте, нарушении месячных, а при конъюнктивитах закапывают в глаза жидкость, выделенную из моллюска. Экспериментальное изучение экстракта показало, что в нем содержатся термостатические вещества, оказывающие успокаивающее действие, снижающие кровяное давление, удлиняющие наркотический сон у мышей, а также уменьшающие содержание катехоламинов в тканях. Выделенные вещества представляют интерес как потенциальный источник новых фармакологических препаратов
Говоря о моллюсках, следует упомянуть слизней. Известно, что древние греки приписывали лечебные свойства рудиментарной раковине лимацид, а мазь из слизней применялась в Европе до середины XIX в. В настоящее время в Болгарии создан препарат мукостабил, в основу которого входит слизь «огородной улитки». Это средство применяют для лечения язвы желудка и двенадцатиперстной кишки. Вязкая слизь, попадая в желудок, обезболивает и оказывает защитное действие
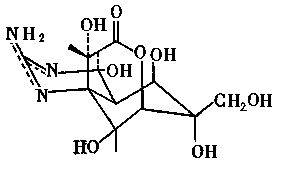
Из слюнных желез моллюсков некоторых видов нептуний (род Neptunea) выделено вещество тетрамин, обладающее курареподобным действием. Оно идентично талассину из актиний-анемон (Anemonia sulcata)
В четвертом номере журнала «Природа и человек» за 1985 г. имеется сообщение об использовании мидий для лечения ревматизма. Ученые обратили внимание, что полинезийские рыбаки, несмотря на влажный климат и возраст, не страдают воспалением суставов. Их основная пища — сырые мидии. В связи с этим в шотландском городе Глазго был проведен эксперимент: пациентам, постоянно работающим во влажных помещениях, давали препарат, приготовленный из мидий. При этом у 72% больных боли в суставах исчезали
В журнале «Знание — сила» № 3 за 1986 г. было помещено сообщение о том, что у берегов Новой Зеландии начали разводить на специальных морских фермах редкий вид моллюска — «мидию с зеленой каймой». Она служит источником получения препарата, который облегчает боли и улучшает подвижность у больных ревматическим полиартритом. Действующее начало этого лекарства еще неизвестно, так как его химический состав находится в стадии изучения
Из моллюска Aplysia dactylomela получен препарат дактилин, который угнетает работу ферментов печени, участвующих в разрушении лекарств. Благодаря этому свойству он может продлевать время действия фармакологических средств (в дозе 10 мг/кг значительно усиливает эффект пентобарбитала). Он значительно менее токсичен, чем все известные синтетические блокаторы ферментов, используемые в здравоохранении
Порошок из раковин жемчужниц (общее название некоторых морских и пресноводных моллюсков) на Востоке врачи назначают как самостоятельно, так и в сочетании с другими лекарственными средствами при остеомиелите, а также в качестве противовоспалительного и жаропонижающего средства. Применяется порошок и из самого жемчуга
Было установлено, что выделения некоторых видов двустворчатых моллюсков Индийского океана легко убивают самые стойкие вирусы. Мясо некоторых моллюсков способствует выведению из организма человека соединений свинца, некоторых органических ядов и радиоактивных элементов, в частности стронция
Моллюск мурекс (Murex), который используется как продуцент гомеопатического препарата, является источником получения известного красителя — королевского пурпура. Чаще всего пурпур готовили из багрянок (М. brandaris), обитающих на довольно большой глубине (10 — 150 м). Мельчайшие гранулы в клетках моллюска под действием солнечных лучей превращаются, постепенно меняя цвета, в красивый ярко-красный пурпур. Он в старые времена имел баснословную цену — из 120 тыс. животных извлекали менее 1,5 г чистого вещества. Пурпур очень стоек и не выцветает столетиями. Не имеет смысла описывать историю открытия и развития производства пурпура, так как, вероятно, не краситель оказывает терапевтический эффект. В специальных железах моллюска, кроме пурпура, были обнаружены вещества, токсичные для тепло- и холоднокровных животных. Имеется, например, сообщение, что в Триесте, на побережье Адриатического моря, было зарегистрировано отравление 43 человек, съевших моллюска, которое характеризовалось тяжелым гастроэнтеритом, судорогами, Из гипобронхиальных желез мурекса выделен токсин, названный мурексином:

Впоследствии мурексин был синтезирован и вещество было названо уроканилхолином. Содержание мурексина в железах может достигать от 1 до 5 мг/г массы железы. При введении животным он вызывает падение артериального давления, уменьшение сердцебиения, стимулирует дыхание и усиливает слюноотделение
По своему физиологическому действию мурексин и его аналоги подобны ацетилхолину, что и определяет терапевтический эффект препарата. Королевский пурпур и его предшественники характеризуются нейротропной и антибиотической активностью
В малых дозах мурексин, или уроканилхолин, возбуждает дыхательный центр, а в более высоких — вызывает мышечное расслабление
Автору этих строк приходилось наблюдать на берегу Азовского моря пожилых людей, которые вылавливали из воды медуз и натирали ими ноги. Считается в народе, что такой метод лечения помогает при артритах и невралгиях. Метод нигде не описан. Польза или вред его также не установлены. В старину медузы находили применение в медицине как мочегонное, слабительное и рвотное средство. Основным представителем медуз в Азовском море является ризостома (Rhizostoma pulmo), которая относится к типу стрекающих. Их ядовитый аппарат построен однотипно. В щупальцах и ротовых лопастях расположены специфические стрекательные бокаловидные клетки, покрытые плотной хитиновой оболочкой и содержащие плотно свернутую в виде спирали нить и ядовитую жидкость. На наружной поверхности стрекательные клетки прикрыты крышечкой, снабженной чувствительным волоском. При дотрагивании до волоска крышечка открывается и с молниеносной быстротой выбрасывается нить, конец которой снабжен шипами. Это оружие медуз вонзается в тело жертвы подобно гарпуну и плотно фиксируется за счет шипов. Вслед за этим в рану по каналу, расположенному внутри нити, входит ядовитый секрет клеток. Интересно, что эти стрекательные клетки благодаря плотной хитиновой оболочке долго (в течение нескольких суток) сохраняют жизнеспособность после изъятия из воды, а также после отделения от тела медузы, находясь в море. Так что выброшенная на берег медуза еще может себя проявить. Что же входит в состав яда медуз? Было установлено, что болевые ощущения, которые возникают у пораженных, обусловлены наличием серотонина. Кроме того, были обнаружены также такие Вещества, как талассин, конгестин и гипнотоксин. При попадании в кровь талассина возникают зуд и чихание; конгестин усиливает действие талассина, способствуя развитию реакции типа анафилаксии; гипнотоксин — наиболее токсичное вещество с нейротропным действием, В зависимости от вида медуз эти вещества входят в состав яда в различных соотношениях
Из медуз ризостом, обитающих в Черном и Азовском морях, выделен также пептид, состоящий из шести аминокислот, который при введении экспериментальным животным вызывает длительный паралич и смерть (Орлов, Гелашвили, 1985). Его назвали «ризостомин»
Следует отметить, что поражение людей медузами часто не ограничивается только кожной реакцией. Нам приходилось наблюдать, особенно у детей, лихорадку, головные боли, мышечную слабость. Все эти явления проходили через 2 — 3 дня. Что же касается метода лечения, описанного выше, можно предполагать, что, натирая медузой пораженные конечности, больные производят себе множество уколов, вводя ядовитый секрет медуз
Говоря о медузах, следует указать на Gonionemus vertens (крестовичок). Она распространена в Японском море. У пораженных ею людей, кроме местной (сильно выраженной) реакции, наблюдается ряд нервно-психических симптомов: страх смерти, веселость, плаксивость, депрессия, полное безразличие и автоматическая подчиняемость. Во время сна наблюдались галлюцинации, появлялось чувство изменения размеров частей тела, не? обычной тяжести. Действие яда напоминало эффект известных наркотиков типа ЛСД, блокирующих активность фермента, выполняющего важную функцию в мозгу, – моноаминооксидазы. Дальнейшее изучение яда этих медуз позволило раскрыть его химическую структуру и, вероятно, сделает возможным применить его на практике Интересное вещество белковой природы – экворин – было обнаружено в одном из видов медуз северо-западной части Тихого океана. Это соединение обладает уникальным свойством люминесцировать в присутствии ионов кальция и стронция. Это свойство используется для изучения функции клеток и субклеточных структур, а также для диагностики заболеваний, связанных с изменением концентрации кальция, наблюдаемым при сердечной недостаточности и при раке.

Экворин
Медузы гонионемы вырабатывают вещество, обладающее сильным психотропным действием. Химическая природа и фармакологические свойства его изучаются
В ряде стран большую медузу «морскую ворвань» жители растирали с донным илом и полученную смесь добавляли в ванны или применяли в виде растирания при невралгических заболеваниях, радикулите, параличах. В странах Востока препараты из медуз используют в качестве слабительного, мочегонного и рвотного средств
Нашли применение в медицине морские беспозвоночные животные типа кишечнополостных – коралловые полипы. Один из многочисленных представителей этого класса – горгонария (Plexaura homomalla) выделяет вещество, подобное простагландинам. Эти биологически активные соединения, играющие важную роль в организме млекопитающих, применяются для лечения целого ряда заболеваний. Химический синтез сложен. Поэтому одна американская компания поспешила заключить соглашение с властями острова Большой Кайман на право сбора в море горгонарий для выделения полупродукта и дальнейшего синтеза природных простагландинов
В старинной гавайской легенде рассказывается о получении из водоросли «мему-маке-о-хана» («смертельные водоросли Хана») сильного яда, которым древние островитяне смазывали наконечники стрел. Места обитания этих водорослей-кораллов держались аборигенами в секрете
Изучение токсина началось в 1961 г., а через 10 лет была установлена его структура. Это модифицированная жирная кислота с концевой аминогруппой, ее молекулярная формула C129H223N3O54. Работы эти были проведены группой Шойера из Гавайского института морской биологии. Вещество, выделенное из кораллов Palythoa toxica, обитающих в районе Гавайских островов, Таити и Ямайки, было названо палитоксином. Установлено, что 1/10 часть минимальной смертельной дозы (5,25 мг/кг) вызывает полное исчезновение опухоли Эрлиха у крыс. Его также применили в качестве обезболивающего средства в челюстно-лицевой хирургии, что позволило оперировать непрерывно в течение нескольких часов. Палитоксин является самым сильным деполяризующим веществом. Кроме того, токсин вызывает резкое сужение сосудов и, вероятно, может быть использован для создания экспериментальных моделей некоторых болезней у животных,
Палитоксин, выделенный из кораллов острова Таити отличается по структуре от токсина животных, обитающих в области Гавайских островов. В последнее время удалось установить, что палитоксин продуцируется вирусом, который сожительствует с кораллами
Здесь уместно привести рекомендации древних врачей применения кораллов, так как изложенные выше сведения подтверждают их в какой-то мере. Бенедикт Крипе в поэме «Медицинские заметки» в главе «О боли в сердце» пишет:
«Если безумная боль поражает у нас подреберье
И нестерпимая боль сердечные ткани терзает,
Острая жидкость поможет с кораллом доблестным вместе».
Острая жидкость — вероятно, уксус, который лучше извлекает действующие вещества
Нельзя не остановиться еще на одном химическом соединении, которое в настоящее время получают в США и Японии из отходов переработки креветок, крабов и омаров в количествах от пяти до восьми тысяч тонн в год. Это полимер хитин. Он входит в состав водных животных и содержится в покровах насекомых, в стенке клеток грибов и дрожжей
Впервые это вещество было выделено в 1811 г. французским профессором Г. Браконом, который получил его, положив в пробирку со щелочью кусочек мухомора. Автор назвал его фунгином. Через 12 лет другой исследователь — А. Одье поместил в пробирки с кислотой и щелочью майского жука, в результате чего удалось выделить новое вещество, названное уже хитином (от греческого «хитон» — покрытие)
Была установлена структура хитина. Он является налогом целлюлозы, в которой одна из гидроксильных групп замещена ацетамидом
Хитин нашел применение в некоторых видах промышленности и в медицине. Оказалось, что он обладает способностью сорбировать ионы тяжелых металлов. Было обнаружено, что большинство свинца, попавшего в морскую воду, сорбируется панцирем ракообразных, содержащих хитин, образуя с ним хелатные комплексы. Хитин можно использовать для очистки промышленных стоков от токсических примесей ртути, кадмия и для концентрирования редкоземельных металлов. Он был использован в Италии для удаления радиоактивных изотопов цезия, циркония, гафния и рутения из воды, служащей для охлаждения атомного реактора
Установлено, что сульфопроизводные хитозана (аналог хитина) препятствуют свертыванию крови и образованию тромбов в сосудах. В Бельгии запатентовано средство для заживления ран, которое состоит из тонкоизмельченного хитина и антисептиков
В киевской газете «Прапор комунiзму» за 1988 г. (№ 58) было опубликовано сообщение, что кубинские фармакологи открыли и успешно испытали вещество, которое ускоряет заживление тяжелых ожогов. Препарат, который назвали квитином, получают из панциря лангустов. Он стимулирует регенерацию ткани кожи и в отличие от общепринятых методов лечения дает возможность полностью нормализовать пигментацию кожи. Применяют новое средство преимущественно в виде мази, но может употребляться оно и в виде таблеток, порошка или эмульсии. Побочного действия не оказывает
Производные хитина использовали для получения специальных пленок, содержащих лекарственные вещества. В частности, в Италии была изготовлена пленка, содержащая пилокарпин, для применения в глазной практике
Добавление хитина к табаку снижало концентрацию ядовитых веществ в дыме, не отражаясь на аромате самого табака. Здесь нельзя не вспомнить о народном методе «отучить человека от курения» — давать ему курить смесь табака с порошком из толченого рака
Известно применение с лечебной целью хитинового панциря раков. Авиценна рекомендовал при болезнях селезенки рецепт: «Берут речных раков, отрезают ножки и клешни, сушат и растирают их; берут мискал (4,25 г), смешивают с 1/6 мискала опия... Иногда в соответствии с состоянием больного вместо опия добавляют такое же количество бальзамового масла»
Согласно сведениям В. Дерикера (1866 г.), живых раков, истолченных «с бычьим костным мозгом до получения мягкого серого теста», применяли в качестве растирания, «на Волге судовщики ... от лихорадки, часто случающейся во время разлива», а «от камня — вареный и истолченный рак»
П. Сидир описал рекомендации Даля: «Чтобы выгнать из избы сверчков, надо повесить за клешню живого рака, пока он не начнет портиться. Если повесить его на дереве – с него пропадут все гусеницы». Имеются современные данные, косвенно подтверждающие эти рекомендации. Так, согласно заявке Японии № 5978669, порошок, изготовленный из прокаленных панцирей ракообразных, предохраняет от порчи пищевые продукты
Обладатели мощного хитинового панциря – крабы нашли в медицине еще одно применение. Известно, что крабы-мечехвосты защищаются от опасных бактерий, проникающих в кровь, путем образования вокруг возбудителя студня, похожего на кровяной сгусток. Он образуется после того, как токсины, содержащиеся в стенках бактерий, активируют специфический фермент в крови краба, который, разрушая другой компонент крови, вызывает описанный эффект. На основе этого факта был разработан тест для диагностики гонореи. Сухой экстракт из крови краба смешивают с семенной жидкостью предполагаемого больного; и если образуются сгустки, человек болен. Точность диагноза – 95%, с помощью этого теста проводят диагностику и у женщин, но с меньшей точностью (Science Digest. 1983. Vol. 91, N 2)
Ценным поставщиком лекарственного сырья являются самые крупные морские животные — киты. В старое время наибольшей популярностью среди лечебных продуктов китового промысла пользовалась амбра – вещество, образующееся в кишечнике кита. Только что извлеченная амбра представляет собой ком мягкой черной и дурно пахнущей массы. Окисляясь на воздухе, она приобретает специфический приятный аромат. Цвет ее становится серым. Основу амбры составляют высокополимерные спирты. Из них наиболее пахучий – амбреин. Амбру применяли во многих странах как антисептическое и возбуждающее средство. Ее использовали для лечения самых разнообразных заболеваний — эпилепсии, тифа, астмы.
Однако научного подтверждения такое лечение до настоящего времени не получило.
Другое вещество, которое и сегодня применяется в медицине и парфюмерии, называется «спермацет». В чистом виде он находится в особых полостях, расположенных между верхней челюстью и верхушкой лобной части черепа кашалота. Полости эти заключены в спермацетовый мешок из жилистой ткани. После извлечения из мешка спермацет остывает и превращается в твердое белое воскообразное вещество. Его применяют для приготовления пластырей и мазей в косметике. Прибавленный к кремам спермацет придает им более плотную консистенцию и эмульсионные свойства.
Важное значение имеют китообразные для получения витамина А. Печень этих животных по содержанию этого витамина занимает первое место среди морских обитателей, превосходя даже печень трески. Из поджелудочной железы кита добывали гормон инсулин, а из гипофиза — адренокортикотропный гормон. Однако это оказалось нерентабельно и указанные препараты получают из другого сырья
Арсенал биологически активных веществ, выделенных из морских животных, в настоящее время огромен. Изучены их токсичность и химическая структура. Но опыт применения в медицине ограничен, их фармакологические свойства исследованы мало. Несмотря на это, следует надеяться, что еще не один высокоэффективный препарат, источником получения которого послужат морские животные, займет свое заслуженное место среди других лекарственных средств.
Более 800 000 книг и аудиокниг! 📚
Получи 2 месяца Литрес Подписки в подарок и наслаждайся неограниченным чтением
ПОЛУЧИТЬ ПОДАРОК