4.3.4. Эдинбург
Наш четвертый пример мы взяли из исследования Сьюзан Ромэйн в Эдинбурге [Romaine 1978]. В ее исследовании изучается речь учащихся начальной школы из рабочих семей. С каждым ребенком опрос проводился индивидуально. Дети 10 лет также читали отрывок. Отметим, что по сравнению с другими рассмотренными нами исследованиями, это было наиболее избирательным: информанты принадлежали к узкой возрастной категории (6—10 лет), к рабочему классу (насколько позволяла судить об этом профессия отца), и данные эксперимента были получены только в одном контексте (за исключением десятилетних детей).
Одной из переменных, вошедших в исследование С. Ромэйн, был вокализованный согласный [г] – car, door и т. д. Переменная обнаруживается на юге Шотландских приграничных районов, в сельской местности севера Ланкашира и в Уэльских приграничных районах, а также в графствах, расположенных к юго-западу от Лондона: однако шотландцы в основном уверены в произношении своего варианта [г]. Ромэйн попыталась проверить, насколько это соответствует действительности. Она выделила три варианта [г]: альвеолярный [г], щелевой фрикативный согласный звук [.?] и ?. За каждый вариант информантам присваивался отдельный балл с учетом употребления каждого варианта, выражаемого в процентном отношении ко всем случаям использования [г].
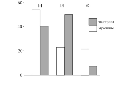
Анализ результатов Сьюзан Ромэйн позволил сделать вывод, что пол говорящего является единственным и самым важным фактором, связанным с [г]. В диаграмме 4.11 представлены результаты употребления каждой переменной для информантов, объединенных в группы по половой принадлежности.

Диаграмма 4.11. Различия в употреблении [г] между группами мужского и женского пола в Эдинбурге (на основе эксперимента Сьюзан Ромэйн) [Romain 1978, 50].
Этот график объединяет показатели детей в трех изученных возрастных группах, так как явные отличия в использовании [г] проявились между мальчиками и девочками в каждой возрастной группе. Обратим внимание, что мальчики чаще используют в речи альвеолярный звук [г], чем девочки, и также более склонны опускать его. Девочки же, наоборот, предпочитают щелевой фрикативный согласный звук [.?], а также избегают опускать его в словах.
Эта переменная также показывает отчетливую половую дифференциацию. В показателях частотности самой заметной особенностью является использование девочками щелевого фрикативного согласного звука [.?]. Очевидно, щелевой фрикативный согласный звук [.?] является маркером женской речи в Эдинбурге.
Более 800 000 книг и аудиокниг! 📚
Получи 2 месяца Литрес Подписки в подарок и наслаждайся неограниченным чтением
ПОЛУЧИТЬ ПОДАРОК